عجیبترین رمز وای فای دنیا+ عکس
در بسیاری از اماکن عمومی رمز وای فای را در اختیار مشتریان قرار میدهند. اما وای فای رستورانی در تایلند رمز عجیبی دارد که استفاده از آن را برای مشتری سخت کرد.

به گزارش منیبان؛ استفاده از اینترنت رایگان، در جاهایی مثل رستوران یا کلینک های زیبایی یکی از موارد مورد علاقه ی مشتریان است به همین دلیل در بسیاری از این دسته اماکن رمز وای فای روی دیوار نصب شده است تا مراجعه کنندگان به راحتی از آن استفاده کنند اما گاهی این رمز شکلی متفاوت دارد و میتواند آنقدرها هم ساده نباشد بطوریکه برای استفاده از آن باید لحظات یا دقایقی ذهنتان را درگیر کنید.
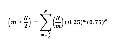
یکی از رستوران های محبوب تایلند در اقدامی متفاوت تصمیم گرفت تا رمز منحصربه فردی را برای اتصال مشتریانش به مودم تعبیه شده داخل رستوران در نظر بگیرد، رمزی که حتی بسیاری از مشتریان از استفاده از آن منصرف شدند چرا که یا سواد آن را نداشتند یا موفق به دستیابی به آن نشدند، به این دلیل که برای رسیدن به رمز وای فای باید معادله ی پیچیده ی ریاضی را حل میکردند.
رمز وای فای این رستوران معادل با تصویر بالا بود ، رمزی که در نگاه اول شکل پیچیده اش فرد را از ادامه مراحل اتصال به اینترنت رستوران منصرف می کند. برخی از مشتریان این رستوران به دلیل مهارت در حل این معادله، به سادگی رمز را یافته و از اینترنت رستوران استفاده می کنند اما تعداد زیادی با دلیل ناتوانی در حل این معادله موفق به استفاده از این آپشن رستوران نمیشوند.
برخی از مشتریان در صفحه اجتماعی این رستوران کامنت های جالبی در واکنش به این رمز ارسال کرده و با لحنی طنز به آن پرداختند. به عقیده ی آنها نبود اینترنت رایگان بسیار بهتر و لذت بخش تر از وجود آن با چنین رمزی است.